七.广度优先遍历
1.代码
bool visited[MAX_VERTEX_NUM]; //访问标记数组
//广度优先遍历
void BFS(Graph G, int v) { //从顶点v出发, 广度优先遍历图G
visit(v); //访问初始顶点v
visited[v] = TRUE; //对v做已访问标记
Enqueue(Q, v); //顶点v入队列Q
while (!isEmpty(Q)) {
DeQueue(Q, v); //顶点v出队列
for (w = FirstNeighbor(G, v);w >= 0;w = NextNeighbor(G, v, w))
//检测v所有邻接点
if (!visited[w]) { //w为v的尚未访问的邻接顶点
visit(w); //访问顶点w
visited[w] = TRUE;//对w做已访问标记
EnQueue(Q, w); //顶点w入队列
}//if
}//while
}
BFS 演示
-
?
2.图解代码
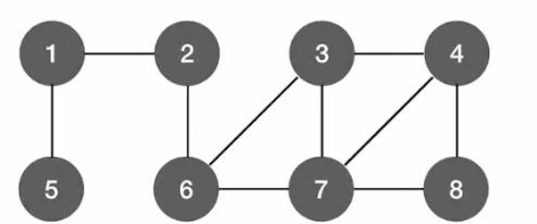
如果我们从2号顶点出发广度优先遍历整个图;
- 首先,访问2号结点:
visit(v); - 然后, 将2号结点对应的数组设为 true;表示已经被访问过了:
visited[v] = TRUE;
- 再将2号顶点入队;指针指向队头元素:2
Enqueue(Q, v); - 如果队头元素不空, 那我们就让队头顶点出队 : 2出队
DeQueue(Q, v);
- 然后检查2所有的邻接点, 又因为1和6都没有被访问过 : visited[1, 6] = false;
- 所以正常访问 1, 6 顶点;再标记为 true;
visit(w);visited[w] = TRUE;
- 然后将顶点入队,且放在队尾
EnQueue(Q, w);
然后再进行下一次循环:
- 因为此时队列为非空的,所以让1号元素出队:

- 此时,又到了 for循环 ,与1号相邻的有2号,5号;
- 因为2号的 visit 值为 True,不满足条件,所以2号结点不会再进行其他处理
- 处理5号顶点,标记为True;并入队尾


接下来处理6号顶点:
- 6号顶点连接3,7;且这两个顶点 visit 都为 False;
- 所以3号,7号入队尾,且标记为 True;


同时,5号结点出队
接下来处理5号顶点:
- 5号顶点只连接了1号,1号为 True;所以5号不用处理了
所以,接下来3号顶点出队:

- 3号顶点连接4,7;7号 visit 值为 True;所以4号入队

最后,处理7号顶点:
- 7号顶点连接4,8;4号 visit 值为 True;所以8号入队


到这里就完成了对这张图的广度优先遍历
3.特殊情况
如上图所示:
如果是非连通图,则无法遍历完所有结点;
- 首先,将 visit 数组全部设为 False,进行初始化处理;
- 然后,初始化一个辅助队列;
- 进行一个 for循环;扫描第一个为False的元素;
- 然后就会从该顶点出发,调用BFS函数
如上图所示:
- 第一次调用BFS函数访问完1-8的结点;
- 此时1-8结点的visit值为True;
- 此时再进行BFSTraverse函数中的for循环,遍历到9号元素为False;
- 再调用BFS函数完成广度优先遍历
bool visited[MAX_VERTEX_NUM]; //访问标记数组
void BFSTraverse(Graph G) { //对图G进行广度优先遍历
for (i = 0;i < G.vexnum;++i)
visited[i] = FALSE; //访问标记数组初始化
InitQueue(Q); //初始化辅助队列Q
for (i = 0;i < G.vexnum;++i) //从0号顶点开始遍历
if (!visited[i]) //对每个连通分量调用一次BFS
BFS(G, i); //vi未访问过,从vi开始BFS
}
//广度优先遍历
void BFS(Graph G, int v) { //从顶点v出发, 广度优先遍历图G
visit(v); //访问初始顶点v
visited[v] = TRUE; //对v做已访问标记
Enqueue(Q, v); //顶点v入队列Q
while (!isEmpty(Q)) {
DeQueue(Q, v); //顶点v出队列
for (w = FirstNeighbor(G, v);w >= 0;w = NextNeighbor(G, v, w))
//检测v所有邻接点
if (!visited[w]) { //w为v的尚未访问的邻接顶点
visit(w); //访问顶点w
visited[w] = TRUE;//对w做已访问标记
EnQueue(Q, w); //顶点w入队列
}//if
}//while
}
4.复杂度
广度优先遍历(BFS)的时间复杂度和空间复杂度取决于图的存储方式和图的结构,以下是详细分析:
(1)、时间复杂度
BFS的时间开销主要来自「访问所有顶点」和「遍历所有边」,与图的存储方式强相关:
- 邻接表存储: 遍历每个顶点的邻接链表,总时间为「顶点数 ( n )」+「边数 ( e )」,时间复杂度为 ( \boldsymbol{O(n + e)} )。
- 邻接矩阵存储: 需遍历每个顶点的整行(检查是否有边),总时间为 ( n^2 ),时间复杂度为 ( \boldsymbol{O(n^2)} )。
(2)、空间复杂度
BFS的空间开销主要来自「辅助队列」和「访问标记数组」:
- 访问标记数组: 大小为 ( n )(顶点数),空间复杂度为 ( O(n) )。
- 辅助队列: 队列的最大长度取决于「图的最大层顶点数」(最坏情况是稠密图的某层包含所有顶点),最坏空间复杂度为 ( O(n) )。
因此,BFS的总空间复杂度为 ( \boldsymbol{O(n)} )(无论存储方式)。
(3)、总结
| 存储方式 | 时间复杂度 | 空间复杂度 |
|---|---|---|
| 邻接表 | ( O(n+e) ) | ( O(n) ) |
| 邻接矩阵 | ( O(n^2) ) | ( O(n) ) |
5.广度最小生成树
生成树演示
-
?
6.广度优先生成树和森林
自定义图的遍历与森林生成
在这里,你可以自由绘制一个图(甚至是非连通图),然后观察 BFS 和 DFS 算法是如何运行的。
交互说明
- 添加节点:点击上方“+ 节点”按钮。
- 连线:点击一个节点(变金),再点击另一个节点。
- 移动:按住节点拖拽。
- 删除:双击节点。
- 切换算法:左上角选择 BFS 或 DFS。
💡 点击两个节点连线,拖拽移动,双击删除
辅助队列 (Queue)
Empty
Front ↑ ... Rear ↓
准备就绪
实验建议
试着画两个互不相连的三角形,然后点击“开始生成森林”,观察算法是如何自动跳跃到第二个连通分量的。
广度优先搜索 (BFS) 类似于树的层序遍历。 如果我们将 BFS 遍历过程中经过的边记录下来,就会得到一棵广度优先生成树。
动态演示
- 左侧 (Graph):原始图结构。你可以拖动节点,或添加新的节点/连线。
- 右侧 (Tree):随着遍历进行,自动生成的树形结构。注意观察树的层级关系。
- 下方 (Queue):辅助队列的实时状态,理解 BFS "先进先出" 的特性。
生成树核心性质
- 最短路径:在无权图中,BFS 生成树中根节点到任意节点的路径,就是原图中该两点间的最短路径(边数最少)。
- 非树边:原图中的非树边(如演示中的 B-C 边),在生成树中连接的必然是同一层或相邻层的节点。